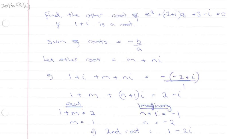
Since some numbers (such as the square root of a negative number) do not exist, a new term is created to account for them.This new term is called i.
return to menu
,
© Copyright rmcstudy