Home
Chemistry
Atomic structure
Chemical bonding
Chemical formula & Moles
Rates of reaction
Energetics / Thermochemistry
Chemical equilibrium
Acids and bases
Organic Chemistry
LC Chemistry exam resources
LC Chemistry solutions by topic
LC Chemistry solutions by year
LC Chemistry past papers
LC Chemistry mark schemes
Maths
Algebra
Coordinate geometry
Calculus
Trigonometry
Functions
Complex numbers
Financial Maths
Statistics
Probability
Proof by Induction
LC Maths exam resources
LC Maths solutions by topic
LC Maths solutions by year
LC Maths past papers
LC Maths mark schemes
About
Contact
rmc study
Home
Chemistry
LC Chemistry exam resources
Maths
LC Maths exam resources
About
Contact
Atomic structure
Chemical bonding
Chemical formula & Moles
Rates of reaction
Energetics / Thermochemistry
Chemical equilibrium
Acids and bases
Organic Chemistry
LC Chemistry solutions by topic
LC Chemistry solutions by year
LC Chemistry past papers
LC Chemistry mark schemes
Algebra
Coordinate geometry
Calculus
Trigonometry
Functions
Complex numbers
Financial Maths
Statistics
Probability
Proof by Induction
LC Maths solutions by topic
LC Maths solutions by year
LC Maths past papers
LC Maths mark schemes
Leaving Certificate Chemistry & Mathematics study resources; notes, solutions & video tutorials
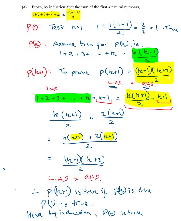
Proof by Induction
Divisibility, Series, Inequalities, De moivre's theorem
Induction - divisibility
return to menu
Induction - series
return to menu
Induction - inequalities
return to menu
Induction - De Moivre's Theorem
return to menu
Tweet
© Copyright rmcstudy