Fincancial Maths

Introduction - compound interest
Present value calculations
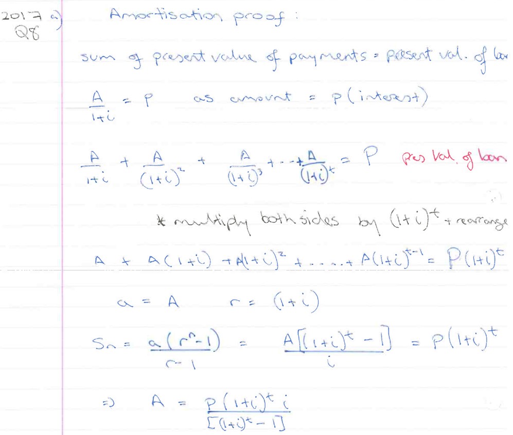
Amortisation formula


Introduction - Compound Interest


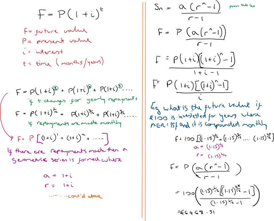
 we are often asked to calculate the sum of money formed after interest has been accumulated at a certain rate. Compound interest is interest charged on a new fixed amount every term.

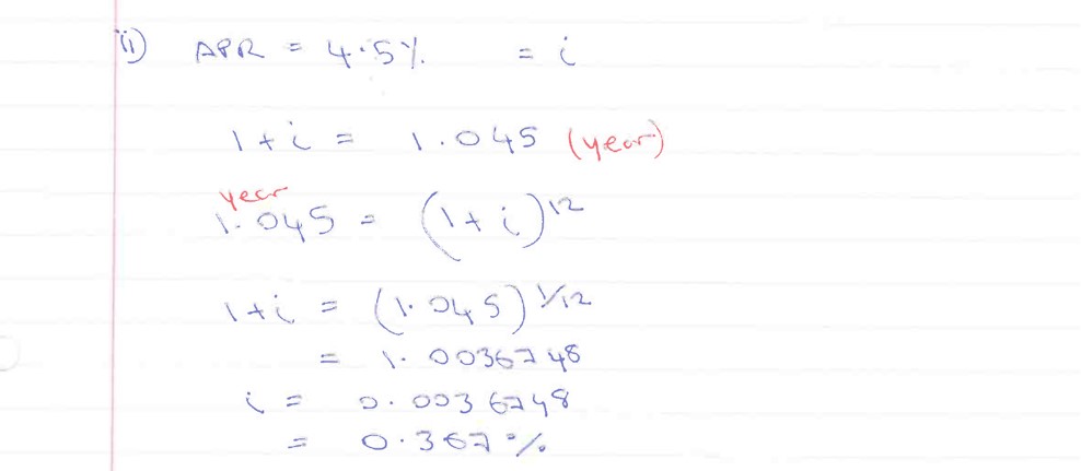
Monthly interest conversion


LC Solution

Future value of a savings fund

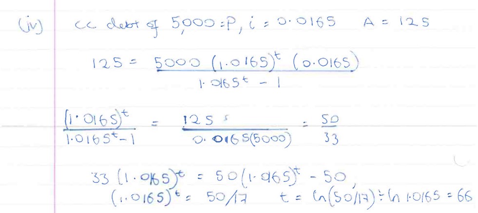
Present value calculations

Amortisation formula


The formula above can be rearranged to create a new formula which is used to calculate the individual repayment amounts of a loan / mortgage.

Amortisation formula derived

LC solution 2017


LC solution 2015


© Copyright rmcstudy