Home
Chemistry
Atomic structure
Chemical bonding
Chemical formula & Moles
Rates of reaction
Energetics / Thermochemistry
Chemical equilibrium
Acids and bases
Organic Chemistry
LC Chemistry exam resources
LC Chemistry solutions by topic
LC Chemistry solutions by year
LC Chemistry past papers
LC Chemistry mark schemes
Maths
Algebra
Coordinate geometry
Calculus
Trigonometry
Functions
Complex numbers
Financial Maths
Statistics
Probability
Proof by Induction
LC Maths exam resources
LC Maths solutions by topic
LC Maths solutions by year
LC Maths past papers
LC Maths mark schemes
About
Contact
rmc study
Home
Chemistry
LC Chemistry exam resources
Maths
LC Maths exam resources
About
Contact
Atomic structure
Chemical bonding
Chemical formula & Moles
Rates of reaction
Energetics / Thermochemistry
Chemical equilibrium
Acids and bases
Organic Chemistry
LC Chemistry solutions by topic
LC Chemistry solutions by year
LC Chemistry past papers
LC Chemistry mark schemes
Algebra
Coordinate geometry
Calculus
Trigonometry
Functions
Complex numbers
Financial Maths
Statistics
Probability
Proof by Induction
LC Maths solutions by topic
LC Maths solutions by year
LC Maths past papers
LC Maths mark schemes
Leaving Certificate Chemistry & Mathematics study resources; notes, solutions & video tutorials
Coordinate Geometry
The line introduction
Concurrencies of a triangle
The circle
Leaving Certificate Coordinate Geometry Solutions
Introduction
return to menu
The Line - perpendicular distance solution
return to menu
Concurrencies of a triangle
return to menu
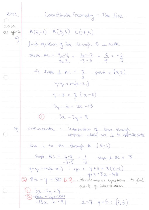
Orthocentre L.C. solution
return to menu
The circle
return to menu
Circle solutions - 2 LC questions
LC solution
return to menu
Tweet
© Copyright rmcstudy